Form: DEFA14A

Additional definitive proxy soliciting materials and Rule 14(a)(12) material

March 29, 2022

 

 

UNITED STATES

SECURITIES AND EXCHANGE COMMISSION

WASHINGTON, DC 20549

 

 

SCHEDULE 14A INFORMATION

Proxy Statement Pursuant to Section 14(a) of the

Securities Exchange Act of 1934

 

 

Filed by the registrant                               Filed by a party other than the registrant  

Check the appropriate box:

 

Preliminary proxy statement

 

Confidential, for use of the Commission only (as permitted by Rule 14a-6(e)(2))

 

Definitive proxy statement

 

Definitive additional materials

 

Soliciting material pursuant to § 240.14a-12

Montrose Environmental Group, Inc.

(Name of registrant as specified in its charter)

N/A

(Name of person(s) filing proxy statement, if other than the registrant)

Payment of filing fee (Check all boxes that apply):

  No fee required
  Fee paid previously with preliminary materials
  Fee computed on table in exhibit required by Item 25(b) per Exchange Act Rules 14a-6(i)(1) and 0-11

 

 

 


LOGO

P.O. BOX 8016, CARY, NC 27512-9903 Montrose Environmental Group, Inc. Important Notice Regarding the Availability of Proxy Materials Stockholders Meeting to be held on May 10, 2022 For Stockholders of record as of March 16, 2022 This communication presents only an overview of the more complete proxy materials that are available to you on the Internet. This is not a ballot. You cannot use this notice to vote your shares. We encourage you to access and review all of the important information contained in the proxy materials before voting. To view the proxy materials, and to obtain directions to attend the meeting, go to: www.proxydocs.com/MEG To vote your proxy while visiting this site, you will need the 12 digit control number in the box below. Under United States Securities and Exchange Commission rules, proxy materials do not have to be delivered in paper. Proxy materials can be distributed by making them available on the internet. For a convenient way to view proxy materials and VOTE go to www.proxydocs.com/MEG Have the 12 digit control number located in the shaded box above available when you access the website and follow the instructions. If you want to receive a paper or e-mail copy of the proxy materials, you must request one. There is no charge to you for requesting a copy. In order to receive a paper package in time for this year’s meeting, you must make this request on or before April 29, 2022. To order paper copies of the proxy materials for this meeting or change your delivery preference for future meetings use one of the following methods. INTERNET www.investorelections.com/MEG TELEPHONE (866) 648-8133 paper@investorelections.com When requesting via the Internet or telephone you will need the 12 digit control number located in the shaded box above. * If requesting material by e-mail, please send a blank e-mail with the 12 digit control number (located above) in the subject line. No other requests, instructions OR other inquiries should be included with your e-mail requesting material. Montrose Environmental Group, Inc. Meeting Type: Annual Meeting of Stockholders Date: Tuesday, May 10, 2022 Time: 9:00 AM, Central Time Place: Annual Meeting to be held live via the Internet - please visit www.proxydocs.com/MEG for more details You must register to attend the meeting online and/or participate at www.proxydocs.com/MEG SEE REVERSE FOR FULL AGENDA


LOGO

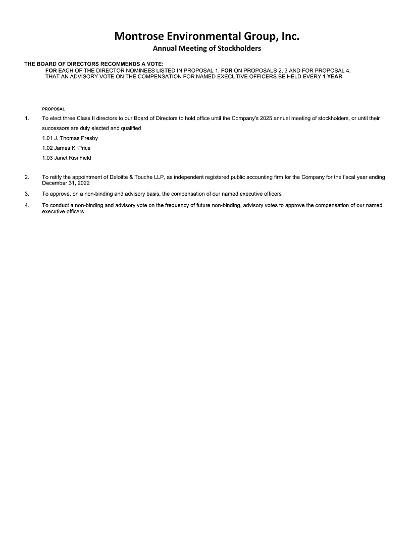
Montrose Environmental Group, Inc. Annual Meeting of Stockholders THE BOARD OF DIRECTORS RECOMMENDS A VOTE: FOR EACH OF THE DIRECTOR NOMINEES LISTED IN PROPOSAL 1, FOR ON PROPOSALS 2, 3 AND FOR PROPOSAL 4, THAT AN ADVISORY VOTE ON THE COMPENSATION FOR NAMED EXECUTIVE OFFICERS BE HELD EVERY 1 YEAR. PROPOSAL 1. To elect three Class II directors to our Board of Directors to hold office until the Company’s 2025 annual meeting of stockholders, or until their successors are duly elected and qualified 1.01 J. Thomas Presby 1.02 James K. Price 1.03 Janet Risi Field 2. To ratify the appointment of Deloitte & Touche LLP, as independent registered public accounting firm for the Company for the fiscal year ending December 31, 2022 3. To approve, on a non-binding and advisory basis, the compensation of our named executive officers 4. To conduct a non-binding and advisory vote on the frequency of future non-binding, advisory votes to approve the compensation of our named executive officers